Terrestrial navigation
Rhumb line sailing definition
Loxodrome is a curve on the surface of the Earth which cuts all the meridians at the same angle. Loxodromic sailing is frequent because during this sailing the wheelman does not change the course. One of the disadvantages of the loxodromic sailing is that the vessel passes the longer way from the point of arrival to the point of departure as opposed to the great circle sailing.
In calculating the necessary navigational parameters during the loxodromic sailing, two problems occur. In the first loxodromic problem, both the latitude and the longitude difference are known, and from these data course and distance are calculated. In solving another loxodromic problem, the known values are course and distance, and the latitude difference and spacing are to be calculated. During both calculations, it is necessary to convert the spacing into the geographical longitude difference and vice versa.
All these problems are solved using the equations derived from the three loxodromic triangles. 
First loxodromic triangle or triangle of course and small distances

Second loxodromic triangle or a triangle of medium widths

Third loxodromic triangle or Mercator's Triangle
Rhumb line sailing calculation
First loxodromic problem:
Departure position P1 (φ1, λ1) to the arrival position of P2 (φ2, λ2). Unknown are the navigation course (Kl) and loxodromic distance (Dl).

Δλ = (λ2 - λ1) - relative coordinate, the difference of longitudes
ΔφM = (φM2 - φM1) - relative coordinate, the difference of Mercator's widths
K - loxodromic angle in the triangle loxodromic
Calculation of Mercator's widths:

Determination of loxodromic course:
Sailing in Ist navigation quadrant:
(Δφ> 0; Δλ> 0) Kl = K
Sailing in IInd navigation quadrant:
(Δφ <0; Δλ> 0) Cl = 180° K
Sailing in IIIrd navigation quadrant:
(Δφ <0; Δλ <0) Cl = 180° K
Sailing in the IVth navigation quadrant:
(Δφ> 0; Δλ <0) Cl = 360° K
Second loxodromic problem:
Departure position P1 (φ1, λ1) and certain loxodromic course (Kl), and crossed distance (Dl). It is necessary to calculate the relative coordinates (Δφ, Δλ).

Calculation of latitude of the point of arrival:
φ2 = φ1 Δφ
Calculation of longitude of the point of arrival:
λ2 = λ1 Δλ
Special cases of loxodromic sailing:
1. Sailing on the equator:
Δφ = 0°, DI = Δλ ', K = 090° or 270°
2. Sailing on the parallel::
Δφ = 0°, DI = Δλ ∙ cos', K = 090° or 270°
3. Sailing on the meridian:
Δλ = 0°, DI = Δφ ', K = 0° or 180°
Great circle sailing definition
Great circle is a shorter arc of the main circle whose plane passes the departure and arrival positions. The differences between the great circle and the loxodrome can be reduced to the main features:
- shorter path between two points on the Earth's surface, while the loxodrome signifies longer path
- during loxodromic sailing, the basic course doesn't need to be altered, while the course alternation is frequent during great circle sailing
- great circle sailing leads to the higher latitudes
Great circle is part of a large circle. It is a circle on the Earth's surface whose plane passes through the center of the Earth. Large circles are the equator and all the meridians, but not the parallels.
Spherical triangle can be obtained if all its sides are the arcs of large circles, so the elements of great circle which is actually an arc of a large circle can be solved with the rules of spherical trigonometry.
Great circle sailing calculation
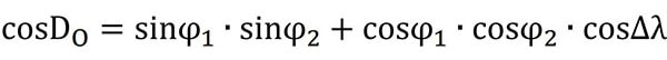
In solving the problem of the great circle sailing, the coordinates of departure and arrival positions are given, so sides 90 - A and 90 - B and the angle between them are known in the great circle spherical triangle. Other initial elements of the great circle (Do and KPC) can be calculated using the cosine theorem of spherical trigonometry.
The great circle distance:

Great circle initial and final course:

Sailing eastward: Kop = α; Kok = 180° - β
Sailing westward: Kop = 360° - α; Kok = 180° β
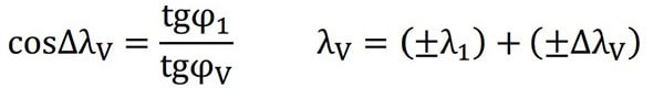
Great circle vertex:

Waypoints of great circles:

Composite sailing
Composite sailing is carried out when the great circle summit from the departure position to arrival position enters in the high latitudes. The border parallel is selected which the ship will not pass.
Elements of the composite sailing:
- border parallel is a parallel above which the vessel will not sail
- border points are points in which the great circle crosses the loxodrome and vice versa
- distance of 2 great circles and 1 loxodrome
- initial and final great circle courses, general loxodromic course
- waypoints
Border points:

Total distance:

Estimated Time of Arrival
The surface of the Earth is divided into 24 time zones within which the time of each meridian is calculated according to the central meridian zone. The zero zone covers an area of -7.5° to 7.5°, Greenwich meridian is a central meridian. Central meridians of other zones are those where λ is a multiple of the number 15.
In the maritime practice when traveling to E, board clock shifts 1 hour forward, and when traveling to W, it shifts 1 hour back for every 15°
360: 24 = 15° = 15° 1h
X = λ: 15
Crossing the date line by sailing to E deducts one day and by sailing to W adds 1 day.
ETA is calculated by converting the time of the vessel departure into a medium-time UT, adding the total travel time, and this results in obtaining the time of the arrival in the mean time which is then converted to local time.




